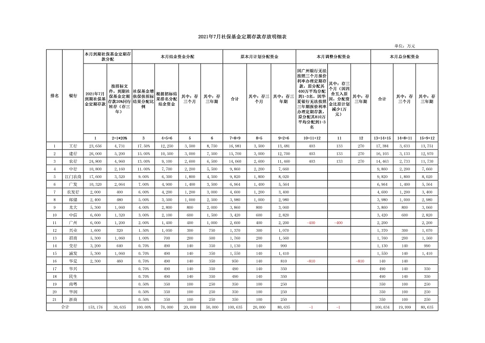
为进一步规范社保基金存放银行的选择和分配管理,严格落实公开、公平、公正,做到程序规范、结果透明、兼顾效率,以确保资金安全为前提,综合考虑资金安全性、流动性、支持地方经济发展、资金收益等因素,按照《2021年7月-2023年6月江门市财政局市本级社会保险基金定期存放分配资格服务项目》招标结果,我们对2021年7月社会保险基金进行了分配存放(具体详见附表)。根据《进一步加强财政部门和预算单位资金存放管理的实施意见》(粤财库〔2017〕59号)的有关要求,现予公告。如有异议,请拨打0750-3501606反馈。
附件: 2021年7月社保基金定期存款存放明细表
江门市财政局
2021年8月3日

江门市政府门户网站

粤公网安备 44070302000670

